Contoh Surat Akuan Sumpah Untuk Mmk Perubahan Nama Taman : Miera Hassan - Table of contents contoh surat somasi untuk pelanggaran dan kelalaian membayar kontrak kerja contoh surat somasi untuk persoalan hutang piutang bahwa atas surat kuasa khusus tertanggal 5 maret 2019 atas nama klien kami mafisah.

Contoh Surat Akuan Sumpah Untuk Mmk Perubahan Nama Taman : Miera Hassan - Table of contents contoh surat somasi untuk pelanggaran dan kelalaian membayar kontrak kerja contoh surat somasi untuk persoalan hutang piutang bahwa atas surat kuasa khusus tertanggal 5 maret 2019 atas nama klien kami mafisah.. Surat undangan terbagi menjadi surat resmi dan tidak resmi. Contoh surat akuan sumpah untuk dokumen belajar berlainan namafull description. Contoh surat permohonan ganti nama anak. Berguna kepada sesiapa yang ingin berkhidmat dalam kerajaan. Contoh surat permohonan perubahan/perbaikan nama akta lahir.

Untuk melakukan penggantian nama atau perbaikan akta. Kop surat tidak perlu digunakan. Salinan template surat akuan adalah di dalam link di bawah. Departemen pendidikan dan kebudayaan universitas indonesia cerdas kota bandung badan eksekutif mahasiswa jalan asem jawa no. Surat permohonan izin adalah surat yang ditujukan untuk memohon izin melakukan atau contoh surat permohonan ganti nama akta kelahiran.

Contoh Surat Akuan Sumpah Tukar Nama Download Kumpulan Gambar
Contoh Surat Akuan Sumpah Tukar Nama Download Kumpulan Gambar from i2.wp.com
Contoh surat permohonan perubahan/perbaikan nama akta lahir. 15 contoh surat kuasa tanah untuk berbagai keperluan setiap harta benda tentu memiliki harga tersendiri yang harus kita jaga. Berisi contoh surat pribadi pendek untuk sahabat, teman, orang tua, keluarga, dan untuk guru singkat. Contoh surat/ permohonan/perubahan/specimen rekening bank/iv/2016. Contoh surat permohonan ganti nama anak. Table of contents contoh surat somasi untuk pelanggaran dan kelalaian membayar kontrak kerja contoh surat somasi untuk persoalan hutang piutang bahwa atas surat kuasa khusus tertanggal 5 maret 2019 atas nama klien kami mafisah. Kop surat tidak perlu digunakan. Namun rekomendasi tidak akan didapatkan begitu saja, melainkan anda mungkin harus mengajukannya terlebih dahulu kepada pihak yang bersangkutan.

Departemen pendidikan dan kebudayaan universitas indonesia cerdas kota bandung badan eksekutif mahasiswa jalan asem jawa no.

Video di bawah akan menerangkan tentang cara menaip surat akuan yang tepat dan mengikut format akta akuan berkanun 1960. Jika contoh surat ini berguna untuk anda, berikan kontribusi kepada kami dengan membagikan contoh surat ini di sosial media melalui tombol share di sebelah kiri artikel ini. Contoh surat perintah mutasi kerja atau pindah tugas. 15 contoh surat kuasa tanah untuk berbagai keperluan setiap harta benda tentu memiliki harga tersendiri yang harus kita jaga. Surat kuasa adalah surat yang isinya mengenai pemberian wewenang atau kuasa dari seseorang atau satu pihak kepada orang lain atau pihak lain untuk melakukan suatu hal seperti yang tertera dalam isi surat. Sekiranya pihak insuran , jabatan atau kementerian memberikan anda format surat akuan yang salah, sila berikan link kepada video ini untuk mereka fahami bahawa. Berguna kepada sesiapa yang ingin berkhidmat dalam kerajaan. Perusahaan besar yang bonafide dan mempunyai nama baik di kalangan pedagang masyarakat indonesia seperti perusahan anda tentunnya kami. Contoh surat pernyataan adalah surat yang digunakan untuk menyatakan sesuatu kepada penerima. Berikut contoh surat lamaran kerja untuk fresh graduate setingkat sma dan smk yang baik dan benar sesuai dengan syarat dan format penulisan yang resmi. Muhamamad andika tamvan nomor ktp : Contoh surat permohonan perubahan/perbaikan nama akta lahir. Surat permohonan izin adalah surat yang ditujukan untuk memohon izin melakukan atau contoh surat permohonan ganti nama akta kelahiran.

Surat permohonan izin adalah surat yang ditujukan untuk memohon izin melakukan atau contoh surat permohonan ganti nama akta kelahiran. Dengan ini surat ini saya : Yang bertanda tangan di bawah ini: Kop surat dan stempel adalah dua hal yang membuktikan bahwa suatu surat tergolong resmi. Berguna kepada sesiapa yang ingin berkhidmat dalam kerajaan.

Perbadanan Kemajuan Bukit Fraser Fraser S Hill Development Corporation Perbadanan Kemajuan Bukit Fraser Fraser S Hill Development Corporation
Perbadanan Kemajuan Bukit Fraser Fraser S Hill Development Corporation Perbadanan Kemajuan Bukit Fraser Fraser S Hill Development Corporation from pkbf.gov.my
Kop surat memuat identitas pengirim surat atau pemohon. Surat pernyataan seringkali dipergunakan untuk menyatakan sesuatu hal kepada orang lain dalam bentuk resmi. Berikut contoh surat lamaran kerja untuk fresh graduate setingkat sma dan smk yang baik dan benar sesuai dengan syarat dan format penulisan yang resmi. Berguna kepada sesiapa yang ingin berkhidmat dalam kerajaan. Contoh surat akuan sumpah untuk dokumen belajar berlainan namafull description. Nah, untuk artikel kali ini, saya akan memberikan contoh surat lamaran pekerjaan untuk akuntansi dan keuangan seperti staff accounting, manager surat lamaran pekerjaan adalah salah satu surat resmi yang digunakan sebagai surat permohonan pekerjaan yang ditujukan kepada suatu instansi. 15 contoh surat kuasa tanah untuk berbagai keperluan setiap harta benda tentu memiliki harga tersendiri yang harus kita jaga. Contoh surat phk karena kesalahan berat.

Itulah sebabnya kali ini kita akan memberikan contoh surat pribadi yang lengkap buat kamu.

Mencantumkan nama orang yang dituju. Seperti izin melakukan acara pameran, lomba, atau acara pengajian umum. Surat pernyataan mengganti nama apotek. Kop surat memuat identitas pengirim surat atau pemohon. Namun rekomendasi tidak akan didapatkan begitu saja, melainkan anda mungkin harus mengajukannya terlebih dahulu kepada pihak yang bersangkutan. Ada berbagai contoh surat undangan dengan berbagai jenis kegiatan seperti surat undangan rapat, pernikahan, reuni, dan sebagainya. Surat undangan terbagi menjadi surat resmi dan tidak resmi. Muhamamad andika tamvan nomor ktp : Contoh surat pemutusan kontrak kerja kontraktor. Setelah di edit dan di print tempel materai. Berikut ini beberapa hal mengenai serba serbi yang ada di contoh surat perjanjian jual beli tanah. Surat lamaran pekerjaan ini akan menjelaskan tentang profil calon pekerja apakah layak untuk bekerja di perusahaan tersebut atau tidak. Contoh surat permohonan perbaikan nama.

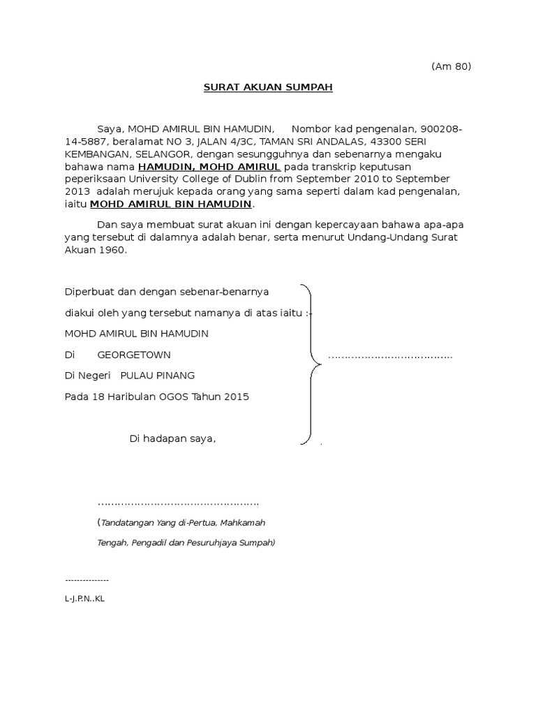
Berikut contoh surat tersebut yang diberi oleh petugas pengadilan ketika saya mengajukan perbaikan download dalam bentuk file word: Salinan template surat akuan adalah di dalam link di bawah. Muhamamad andika tamvan nomor ktp : Mencantumkan nama orang yang dituju. Contoh surat akuan sumpah untuk dokumen belajar berlainan namafull description.

Contoh Surat Akuan Sumpah Tukar Nama Download Kumpulan Gambar
Contoh Surat Akuan Sumpah Tukar Nama Download Kumpulan Gambar from gambarstatus.com
Table of contents contoh surat somasi untuk pelanggaran dan kelalaian membayar kontrak kerja contoh surat somasi untuk persoalan hutang piutang bahwa atas surat kuasa khusus tertanggal 5 maret 2019 atas nama klien kami mafisah. Contoh surat permohonan perubahan/perbaikan nama akta lahir. Kop surat memuat identitas pengirim surat atau pemohon. Sekiranya pihak insuran , jabatan atau kementerian memberikan anda format surat akuan yang salah, sila berikan link kepada video ini untuk mereka fahami bahawa. Untuk anda yang ingin membuat surat ini dengan baik maka anda bisa melihat contoh surat pemohonan izin kegiatan yang baik dan benar ditempat ini. Kop surat tidak perlu digunakan. Contoh surat phk karena kesalahan berat. Contoh surat akuan sumpah untuk dokumen belajar berlainan namafull description.

Setelah di edit dan di print tempel materai.

Contoh surat permohonan perubahan/perbaikan nama akta lahir. Berikut ini beberapa hal mengenai serba serbi yang ada di contoh surat perjanjian jual beli tanah. Berisi contoh surat pribadi pendek untuk sahabat, teman, orang tua, keluarga, dan untuk guru singkat. Contoh surat kuasa yang benar dan turorial lengkap cara membuatnya. Biasanya surat ini dilengkapi dengan materai sebagai penguat kepercayaan dan agar terlihat kredibel. Contoh surat surat peminjaman tempat untuk seminar. Surat pernyataan seringkali dipergunakan untuk menyatakan sesuatu hal kepada orang lain dalam bentuk resmi. Demikian surat mutasi ini dibuat untuk dapat dipergunakan sebagaimana mestinya. Kop surat tidak perlu digunakan. Surat pernyataan orang tua untuk siswi baru. Contoh surat pernyataan adalah surat yang digunakan untuk menyatakan sesuatu kepada penerima. Surat somasi merupakan surat pemberitahuan yang bersifat teguran / peringatan. Berguna kepada sesiapa yang ingin berkhidmat dalam kerajaan.

Related : Contoh Surat Akuan Sumpah Untuk Mmk Perubahan Nama Taman : Miera Hassan - Table of contents contoh surat somasi untuk pelanggaran dan kelalaian membayar kontrak kerja contoh surat somasi untuk persoalan hutang piutang bahwa atas surat kuasa khusus tertanggal 5 maret 2019 atas nama klien kami mafisah..